Tableau de bord
Août 2025
Commerce extérieur | Recette
Tableau de bord
584

Août 2025
Commerce extérieur | Recette
Edition Septembre 2025
Publié par la Direction des Statistiques et de la Comptabilité
1ère Partie : DAU enregistrés – Délai de dédouanement à fin août 2025
Répartition des DAU enregistrés dans Sydonia en août 2025

Sur les 15 100 DAU environ enregistrés dans Sydonia en août 2025 : 34% à Antanimena, 28% à Toamasina Port, 19% à Mamory, 10% à Ivato et moins de 2% pour chacun des autres bureaux.
Nombre de DAU enregistrés dans Sydonia par circuit

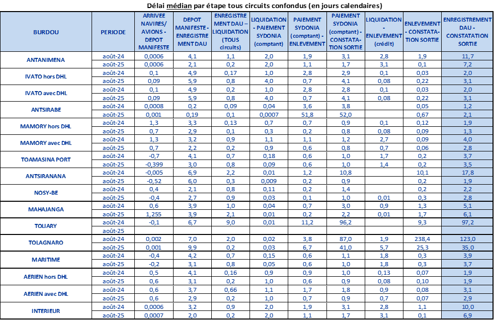
IMPORT: Délai médian par étape en août 2025 (en jours calendaires)
Transport maritime

Transport aérien hors DHL

2è Partie : Importation mise à la consommation et régime d’entreprise franche sur la base des DAU enregistrés à fin août 2025
1. Généralités
Bandes tarifaires : valeur des marchandises non pétrolières sous régime douanier de mise à la consommation et non admises en franchise : en milliard d’Ariary

Taux de droit de douane moyen pondéré : en %

Cours du dollar américain utilisé pour le dédouanement : en Ariary

Perte de recettes sur les imports et les exports en exonération : en milliard d’Ariary

Montant des pertes en droits et taxes selon la préférence tarifaire : en milliard d’Ariary

Récapitulation des principaux manques à gagner, pertes ou dépenses fiscales : en milliard d’Ariary

2. Produits sensibles
Quantité de riz et de paddy mise à la consommation : en millier de Tonnes

Quantité de sucre mise à la consommation : en millier de Tonnes

Quantité d’huiles alimentaires mise à la consommation : en millier de Tonnes

Quantité de farine mise à la consommation : en millier de Tonnes

Quantité de friperies et chiffons mise à la consommation : en millier de Tonnes

Quantité de ciment mise à la consommation : en millier de Tonnes

Effectif des véhicules sous régime douanier de mise à la consommation

Valeur des produits pharmaceutiques mise à la consommation : en milliard d’Ariary

Quantité d’hydrocarbures mise à la consommation en août 2025 : en million de Litres

3ème Partie : Recettes collectées à fin août 2025
1. RESULTATS MENSUELS
2. PRODUITS POURVOYEURS DES RECETTES
Evolution mensuelle des recettes douanières (milliards d’ariary)

Principaux produits pourvoyeurs de recettes (outre les produits pétroliers)

Pour les huit premiers mois de l’année 2025, la Direction Générale des Douanes a perçu 2 538.1milliards d’Ariary de recettes contre 2 400.9 milliards ariary, soit une hausse de 6% comparée à celle de la même période de l’année 2024
ANNEXE




